| year | month | wind_spped (min) | wind_speed (ave) | wind_speed (max) | wind_speed (vec_ave) | wind_direc (vec_ave) | Air_temp (min) | Air_temp (ave) | Air_temp (Max) | Rel_Hum (min) | Rel_Hum (ave) | Rel_Hum (max) | Spec_Hum (min) | Spec_Hum (ave) | Spec_Hum (max) | Vap_Pres (min) | Vap_Pres (ave) | Vap_Pres (max) | Solor_Rad (ave) | Solor_Rad (max) | Precise_Solor_Rad (ave) | Precise_Solor_Rad (max) | Longwave_Rad (min) | Longwave_Rad (ave) | Longwave_Rad (max) | Press (min) | Press (ave) | Press (max) | Rainfall (sum) | Rainfall (max/10min.) | Precipitation (sum) | Precipitation (max/10min.) | Rainfall (max/1hour) | Precipitation (max/1hour) | Rainfall (max/2hour) | Precipitation (max/2hour) | Rainfall (max/24hour) | Precipitation (max/24hour) | |
| (1-12) | (m/s) | (m/s) | (m/s) | (m/s) | (deg) | (C deg) | (C deg) | (C deg) | (%) | (%) | (%) | (g/kg) | (g/kg) | (g/kg) | (hPa) | (hPa) | (hPa) | (W/m2) | (W/m2) | (W/m2) | (W/m2) | (W/m2) | (W/m2) | (W/m2) | (hPa) | (hPa) | (hPa) | (mm/month) | (mm/10min) | (mm/month) | (mm/10min) | (mm/1hour) | (mm/1hour) | (mm/2hour) | (mm/2hour) | (mm/24hour) | (mm/24hour) | ||
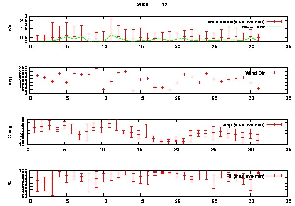
| 2009 | 12 | 0.0 | 0.4 | 2.7 | 0.1 | 194.0 | -9.5 | -1.6 | 7.8 | 22.2 | 84.2 | 100.0 | 0.9 | 3.4 | 7.0 | 1.3 | 4.7 | 9.6 | 29.9 | 658.4 | 61.6 | 593.7 | 189.3 | 267.2 | 318.2 | 846.6 | 861.9 | 871.0 | 13.5 | 8.0 | 99.5 | 5.5 | 8.5 | 9.0 | 8.5 | 9.5 | 12.5 | 38.5 |
| year | month | day | wind_spped (min) | wind_speed (ave) | wind_speed (max) | wind_speed (vec_ave) | wind direc (vec_ave) | Air_temp (min) | Air_temp (ave) | Air_temp (Max) | Rel_Hum (min) | Rel_Hum (ave) | Rel_Hum (max) | Spec_Hum (min) | Spec_Hum (ave) | Spec_Hum (max) | Vap_Pres (min) | Vap_Pres (ave) | Vap_Pres (max) | Solor_Rad (ave) | Solor_Rad (max) | Precise_Solor_Rad (ave) | Precise_Solor_Rad (max) | Longwave_Rad (min) | Longwave_Rad (ave) | Longwave_Rad (max) | Press (min) | Press (ave) | Press (max) | Rainfall (sum) | Rainfall (max/10min.) | Precipitation (sum) | Precipitation (max/10min.) | Rainfall (max/1hour) | Precipitation (max/1hour) | Rainfall (max/2hour) | Precipitation (max/2hour) | Rainfall (max/24hour) | Precipitation (max/24hour) | |
| (1-12) | (m/s) | (m/s) | (m/s) | (m/s) | (deg) | (C deg) | (C deg) | (C deg) | (%) | (%) | (%) | (g/kg) | (g/kg) | (g/kg) | (hPa) | (hPa) | (hPa) | (W/m2) | (W/m2) | (W/m2) | (W/m2) | (W/m2) | (W/m2) | (W/m2) | (hPa) | (hPa) | (hPa) | (mm/month) | (mm/10min) | (mm/month) | (mm/10min) | (mm/1hour) | (mm/1hour) | (mm/2hour) | (mm/2hour) | (mm/24hour) | (mm/24hour) | |||
| 2009 | 12 | 1 | 0.0 | 0.3 | 0.7 | 0.1 | 244.7 | -1.9 | 2.1 | 7.4 | 35.2 | 68.3 | 99.2 | 2.8 | 3.8 | 5.0 | 4.0 | 5.3 | 6.9 | 53.3 | 577.2 | -9999.0 | -9999.0 | -9999.0 | -9999.0 | -9999.0 | 866.2 | 867.7 | 870.1 | 0.0 | 0.0 | -9999.0 | -9999.0 | 0.0 | -9999.0 | 0.0 | -9999.0 | 0.0 | -9999.0 | |
| 2009 | 12 | 2 | 0.0 | 0.3 | 0.8 | 0.1 | 214.5 | -0.8 | 2.8 | 7.5 | 35.9 | 63.4 | 81.3 | 2.7 | 3.8 | 5.3 | 3.8 | 5.3 | 7.4 | 51.1 | 586.8 | -9999.0 | -9999.0 | -9999.0 | -9999.0 | -9999.0 | 867.8 | 869.6 | 870.9 | 0.0 | 0.0 | -9999.0 | -9999.0 | 0.0 | -9999.0 | 0.0 | -9999.0 | 0.0 | -9999.0 | |
| 2009 | 12 | 3 | 0.0 | 0.5 | 2.3 | 0.1 | 161.1 | 0.2 | 3.6 | 7.3 | 22.2 | 78.0 | 99.8 | 2.4 | 4.8 | 6.2 | 3.3 | 6.6 | 8.5 | 15.6 | 106.2 | -9999.0 | -9999.0 | -9999.0 | -9999.0 | -9999.0 | 857.3 | 861.3 | 867.5 | 0.0 | 0.0 | -9999.0 | -9999.0 | 0.0 | -9999.0 | 0.0 | -9999.0 | 0.0 | -9999.0 | |
| 2009 | 12 | 4 | 0.0 | 0.5 | 1.8 | 0.3 | 270.3 | -0.8 | 0.5 | 2.4 | 80.9 | 98.0 | 100.0 | 4.0 | 4.5 | 5.0 | 5.6 | 6.2 | 6.9 | 18.2 | 196.9 | -9999.0 | -9999.0 | -9999.0 | -9999.0 | -9999.0 | 858.2 | 863.2 | 866.8 | 0.0 | 0.0 | -9999.0 | -9999.0 | 0.0 | -9999.0 | 0.0 | -9999.0 | 0.0 | -9999.0 | |
| 2009 | 12 | 5 | 0.1 | 0.7 | 2.3 | 0.6 | 147.5 | 0.8 | 3.8 | 6.4 | 61.5 | 86.2 | 99.0 | 4.2 | 5.2 | 5.8 | 5.9 | 7.2 | 8.0 | 25.0 | 178.1 | -9999.0 | -9999.0 | -9999.0 | -9999.0 | -9999.0 | 859.3 | 862.2 | 866.1 | 0.0 | 0.0 | -9999.0 | -9999.0 | 0.0 | -9999.0 | 0.0 | -9999.0 | 0.0 | -9999.0 | |
| 2009 | 12 | 6 | 0.0 | 0.6 | 1.8 | 0.3 | 273.4 | -2.6 | 0.9 | 4.6 | 71.6 | 84.0 | 96.7 | 2.9 | 4.0 | 5.3 | 4.0 | 5.6 | 7.3 | 43.8 | 658.4 | -9999.0 | -9999.0 | -9999.0 | -9999.0 | -9999.0 | 859.1 | 860.9 | 864.1 | 0.0 | 0.0 | -9999.0 | -9999.0 | 0.0 | -9999.0 | 0.0 | -9999.0 | 0.0 | -9999.0 | |
| 2009 | 12 | 7 | 0.0 | 0.8 | 1.9 | 0.6 | 258.5 | -6.7 | -3.0 | -0.6 | 66.0 | 81.4 | 92.1 | 2.1 | 2.7 | 3.3 | 3.0 | 3.8 | 4.5 | 53.2 | 349.7 | -9999.0 | -9999.0 | -9999.0 | -9999.0 | -9999.0 | 863.9 | 867.4 | 870.1 | 0.0 | 0.0 | -9999.0 | -9999.0 | 0.0 | -9999.0 | 0.0 | -9999.0 | 0.0 | -9999.0 | |
| 2009 | 12 | 8 | 0.0 | 0.3 | 0.9 | 0.0 | 261.9 | -7.4 | -0.7 | 4.6 | 33.3 | 71.4 | 93.3 | 1.6 | 3.1 | 4.7 | 2.3 | 4.3 | 6.6 | 48.3 | 490.5 | -9999.0 | -9999.0 | -9999.0 | -9999.0 | -9999.0 | 869.3 | 869.9 | 871.0 | 0.0 | 0.0 | -9999.0 | -9999.0 | 0.0 | -9999.0 | 0.0 | -9999.0 | 0.0 | -9999.0 | |
| 2009 | 12 | 9 | 0.0 | 0.3 | 1.1 | 0.1 | 337.9 | -0.1 | 2.4 | 5.3 | 46.0 | 75.5 | 98.3 | 3.1 | 4.2 | 4.9 | 4.3 | 5.8 | 6.8 | 59.9 | 361.9 | -9999.0 | -9999.0 | -9999.0 | -9999.0 | -9999.0 | 867.2 | 868.4 | 869.6 | 0.0 | 0.0 | -9999.0 | -9999.0 | 0.0 | -9999.0 | 0.0 | -9999.0 | 0.0 | -9999.0 | |
| 2009 | 12 | 10 | 0.0 | 0.2 | 1.2 | 0.0 | 48.5 | -1.8 | 2.3 | 6.1 | 63.5 | 78.2 | 92.4 | 3.4 | 4.3 | 5.2 | 4.7 | 6.0 | 7.2 | 52.9 | 350.9 | -9999.0 | -9999.0 | -9999.0 | -9999.0 | -9999.0 | 867.0 | 868.6 | 869.9 | 0.0 | 0.0 | -9999.0 | -9999.0 | 0.0 | -9999.0 | 0.0 | -9999.0 | 0.0 | -9999.0 | |
| 2009 | 12 | 11 | 0.0 | 0.9 | 2.7 | 0.8 | 156.7 | 2.4 | 5.0 | 7.8 | 69.4 | 89.5 | 99.2 | 5.2 | 5.9 | 6.6 | 7.2 | 8.1 | 9.1 | 14.3 | 64.8 | -9999.0 | -9999.0 | -9999.0 | -9999.0 | -9999.0 | 860.3 | 864.0 | 868.7 | 0.0 | 0.0 | -9999.0 | -9999.0 | 0.0 | -9999.0 | 0.0 | -9999.0 | 0.0 | -9999.0 | |
| 2009 | 12 | 12 | 0.0 | 0.6 | 1.9 | 0.4 | 283.3 | -0.1 | 4.7 | 7.8 | 78.4 | 93.6 | 99.0 | 4.1 | 5.9 | 7.0 | 5.6 | 8.2 | 9.6 | 38.1 | 310.1 | -9999.0 | -9999.0 | -9999.0 | -9999.0 | -9999.0 | 861.3 | 862.9 | 864.1 | 0.0 | 0.0 | -9999.0 | -9999.0 | 0.0 | -9999.0 | 0.0 | -9999.0 | 0.0 | -9999.0 | |
| 2009 | 12 | 13 | 0.0 | 0.3 | 1.4 | 0.2 | 298.3 | -2.5 | -1.8 | -0.2 | 87.1 | 98.7 | 100.0 | 3.7 | 3.8 | 4.1 | 5.1 | 5.3 | 5.6 | 24.6 | 177.5 | -9999.0 | -9999.0 | -9999.0 | -9999.0 | -9999.0 | 861.0 | 862.4 | 863.8 | 0.0 | 0.0 | -9999.0 | -9999.0 | 0.0 | -9999.0 | 0.0 | -9999.0 | 0.0 | -9999.0 | |
| 2009 | 12 | 14 | 0.0 | 0.3 | 1.4 | 0.0 | 32.2 | -4.9 | -1.5 | 2.9 | 64.8 | 91.3 | 100.0 | 3.0 | 3.6 | 4.3 | 4.1 | 5.0 | 6.0 | 36.1 | 267.4 | -9999.0 | -9999.0 | -9999.0 | -9999.0 | -9999.0 | 860.7 | 862.2 | 864.1 | 0.0 | 0.0 | -9999.0 | -9999.0 | 0.0 | -9999.0 | 0.0 | -9999.0 | 0.0 | -9999.0 | |
| 2009 | 12 | 15 | 0.0 | 0.5 | 1.6 | 0.2 | 180.3 | -6.1 | -3.1 | -0.1 | 58.4 | 82.9 | 99.1 | 1.8 | 2.8 | 3.5 | 2.5 | 3.9 | 4.9 | 21.3 | 127.6 | -9999.0 | -9999.0 | -9999.0 | -9999.0 | -9999.0 | 862.0 | 863.5 | 864.8 | 0.0 | 0.0 | -9999.0 | -9999.0 | 0.0 | -9999.0 | 0.0 | -9999.0 | 0.0 | -9999.0 | |
| 2009 | 12 | 16 | 0.0 | 0.4 | 1.0 | 0.1 | 200.2 | -4.9 | -3.2 | 4.3 | 56.2 | 85.3 | 97.1 | 2.5 | 2.9 | 4.2 | 3.5 | 4.0 | 5.7 | 26.2 | 209.1 | -9999.0 | -9999.0 | -9999.0 | -9999.0 | -9999.0 | 857.1 | 859.8 | 862.3 | 8.5 | 8.0 | -9999.0 | -9999.0 | 8.5 | -9999.0 | 8.5 | -9999.0 | 12.5 | -9999.0 | |
| 2009 | 12 | 17 | 0.0 | 0.4 | 1.0 | 0.3 | 80.9 | -8.2 | -5.7 | -3.9 | 86.1 | 94.8 | 98.2 | 2.1 | 2.7 | 2.9 | 2.9 | 3.7 | 4.1 | 8.7 | 68.7 | 40.8 | 278.6 | 243.3 | 277.8 | 294.9 | 855.7 | 857.4 | 859.0 | 5.0 | 1.5 | 12.5 | 3.5 | 4.0 | 9.0 | 4.0 | 9.5 | 12.0 | 16.5 | |
| 2009 | 12 | 18 | 0.0 | 0.3 | 1.1 | 0.3 | 74.7 | -8.7 | -7.9 | -6.6 | 92.3 | 95.1 | 97.1 | 2.0 | 2.2 | 2.5 | 2.8 | 3.1 | 3.4 | 5.4 | 32.5 | 24.9 | 138.7 | 252.3 | 275.8 | 281.5 | 853.2 | 854.3 | 855.8 | 0.0 | 0.0 | 19.5 | 1.0 | 0.0 | 2.5 | 0.0 | 4.0 | 1.0 | 37.5 | |
| 2009 | 12 | 19 | 0.0 | 0.1 | 1.2 | 0.1 | 42.8 | -9.5 | -7.8 | -6.2 | 89.9 | 93.8 | 96.6 | 1.8 | 2.2 | 2.5 | 2.5 | 3.0 | 3.4 | 15.2 | 162.2 | 35.8 | 239.1 | 261.0 | 283.5 | 294.7 | 853.2 | 855.3 | 857.1 | 0.0 | 0.0 | 31.0 | 5.5 | 0.0 | 7.0 | 0.0 | 8.5 | 0.0 | 38.5 | |
| 2009 | 12 | 20 | 0.0 | 0.3 | 1.0 | 0.3 | 139.1 | -7.8 | -6.9 | -4.6 | 80.5 | 91.7 | 96.3 | 2.1 | 2.3 | 2.5 | 2.8 | 3.1 | 3.4 | 12.2 | 100.1 | 67.1 | 589.9 | 236.5 | 271.1 | 281.5 | 854.5 | 855.6 | 856.9 | 0.0 | 0.0 | 2.5 | 0.5 | 0.0 | 1.0 | 0.0 | 1.5 | 0.0 | 9.5 | |
| 2009 | 12 | 21 | 0.0 | 0.6 | 1.3 | 0.4 | 265.4 | -9.4 | -7.8 | -5.8 | 71.5 | 85.1 | 96.0 | 1.3 | 1.8 | 2.5 | 1.8 | 2.5 | 3.4 | 15.0 | 121.9 | 85.2 | 593.7 | 189.3 | 254.6 | 284.2 | 854.5 | 859.6 | 864.0 | 0.0 | 0.0 | 6.0 | 0.5 | 0.0 | 1.5 | 0.0 | 3.0 | 0.0 | 7.5 | |
| 2009 | 12 | 22 | 0.2 | 0.6 | 1.4 | 0.1 | 219.8 | -8.1 | -3.8 | -0.3 | 64.2 | 73.7 | 82.6 | 1.3 | 2.2 | 2.9 | 1.8 | 3.1 | 4.1 | 50.4 | 485.1 | 102.1 | 578.7 | 212.4 | 248.4 | 290.0 | 863.9 | 865.5 | 867.2 | 0.0 | 0.0 | 0.5 | 0.5 | 0.0 | 0.5 | 0.0 | 0.5 | 0.0 | 0.5 | |
| 2009 | 12 | 23 | 0.0 | 0.3 | 0.8 | 0.2 | 139.8 | -4.3 | -2.0 | 0.0 | 70.5 | 89.7 | 99.2 | 2.6 | 3.4 | 3.9 | 3.6 | 4.7 | 5.4 | 32.4 | 200.2 | 41.6 | 392.5 | 219.2 | 291.6 | 307.5 | 863.9 | 865.2 | 866.6 | 0.0 | 0.0 | 1.5 | 0.5 | 0.0 | 0.5 | 0.0 | 1.0 | 0.0 | 2.0 | |
| 2009 | 12 | 24 | 0.0 | 0.4 | 1.2 | 0.2 | 268.7 | -4.6 | -2.1 | -0.2 | 73.4 | 86.6 | 100.0 | 2.3 | 3.2 | 3.9 | 3.2 | 4.4 | 5.4 | 20.1 | 106.6 | 121.2 | 495.1 | 213.8 | 276.0 | 307.5 | 863.6 | 865.0 | 866.2 | 0.0 | 0.0 | 1.0 | 0.5 | 0.0 | 0.5 | 0.0 | 0.5 | 0.0 | 2.0 | |
| 2009 | 12 | 25 | 0.0 | 0.4 | 1.0 | 0.1 | 191.1 | -6.8 | -1.7 | 2.9 | 43.1 | 70.1 | 86.4 | 2.0 | 2.7 | 3.5 | 2.8 | 3.7 | 4.8 | 40.4 | 528.7 | 0.1 | 1.5 | 259.0 | 291.2 | 305.4 | 860.1 | 861.9 | 863.6 | 0.0 | 0.0 | 0.0 | 0.0 | 0.0 | 0.0 | 0.0 | 0.0 | 0.0 | 0.5 | |
| 2009 | 12 | 26 | 0.0 | 0.5 | 1.4 | 0.2 | 159.8 | -4.5 | -0.7 | 2.7 | 77.5 | 89.7 | 99.9 | 2.7 | 3.8 | 4.5 | 3.7 | 5.2 | 6.2 | 30.0 | 312.8 | 35.4 | 400.0 | 207.4 | 280.5 | 316.2 | 858.1 | 859.9 | 862.3 | 0.0 | 0.0 | 0.5 | 0.5 | 0.0 | 0.5 | 0.0 | 0.5 | 0.0 | 1.0 | |
| 2009 | 12 | 27 | 0.0 | 0.4 | 1.7 | 0.2 | 184.5 | -5.2 | -2.2 | 1.0 | 64.9 | 82.6 | 95.4 | 2.6 | 3.0 | 3.5 | 3.5 | 4.2 | 4.8 | 57.1 | 485.1 | 108.0 | 565.9 | 208.9 | 239.8 | 293.2 | 858.9 | 861.2 | 862.6 | 0.0 | 0.0 | 0.5 | 0.5 | 0.0 | 0.5 | 0.0 | 0.5 | 0.0 | 4.0 | |
| 2009 | 12 | 28 | 0.0 | 0.6 | 1.6 | 0.2 | 200.1 | -7.3 | -2.7 | 1.3 | 67.4 | 88.0 | 100.0 | 2.0 | 3.2 | 4.2 | 2.7 | 4.4 | 5.8 | 7.8 | 58.4 | 27.5 | 217.7 | 197.3 | 286.4 | 318.2 | 855.6 | 857.8 | 861.0 | 0.0 | 0.0 | 5.0 | 0.5 | 0.0 | 2.5 | 0.0 | 3.5 | 0.0 | 5.0 | |
| 2009 | 12 | 29 | 0.0 | 0.3 | 1.0 | 0.1 | 217.8 | -8.9 | -5.1 | -1.4 | 56.3 | 76.7 | 91.2 | 1.3 | 2.0 | 2.5 | 1.8 | 2.8 | 3.4 | 20.5 | 177.8 | 118.3 | 559.7 | 190.7 | 202.3 | 219.4 | 860.1 | 861.4 | 863.0 | 0.0 | 0.0 | 0.5 | 0.5 | 0.0 | 0.5 | 0.0 | 0.5 | 0.0 | 1.0 | |
| 2009 | 12 | 30 | 0.0 | 0.6 | 1.4 | 0.5 | 138.7 | -5.8 | -2.4 | 1.3 | 36.9 | 72.5 | 100.0 | 0.9 | 2.5 | 4.1 | 1.3 | 3.5 | 5.6 | 23.7 | 361.9 | 56.1 | 586.0 | 199.1 | 275.7 | 310.9 | 851.2 | 857.2 | 862.3 | 0.0 | 0.0 | 2.0 | 0.5 | 0.0 | 1.0 | 0.0 | 1.0 | 0.0 | 4.5 | |
| 2009 | 12 | 31 | 0.1 | 0.5 | 0.9 | 0.1 | 61.8 | -9.5 | -7.0 | -2.7 | 90.8 | 95.4 | 99.0 | 1.9 | 2.5 | 3.6 | 2.5 | 3.4 | 4.9 | 6.9 | 48.3 | 25.5 | 188.5 | 259.4 | 279.4 | 296.7 | 846.6 | 848.6 | 851.1 | 0.0 | 0.0 | 16.5 | 1.0 | 0.0 | 3.5 | 0.0 | 5.5 | 0.0 | 24.5 |
, data file (csv)